Rabeprazol-Hydroxyverbindung CAS 675198-19-3 Reinheit >99,0 % (HPLC) Fabrik
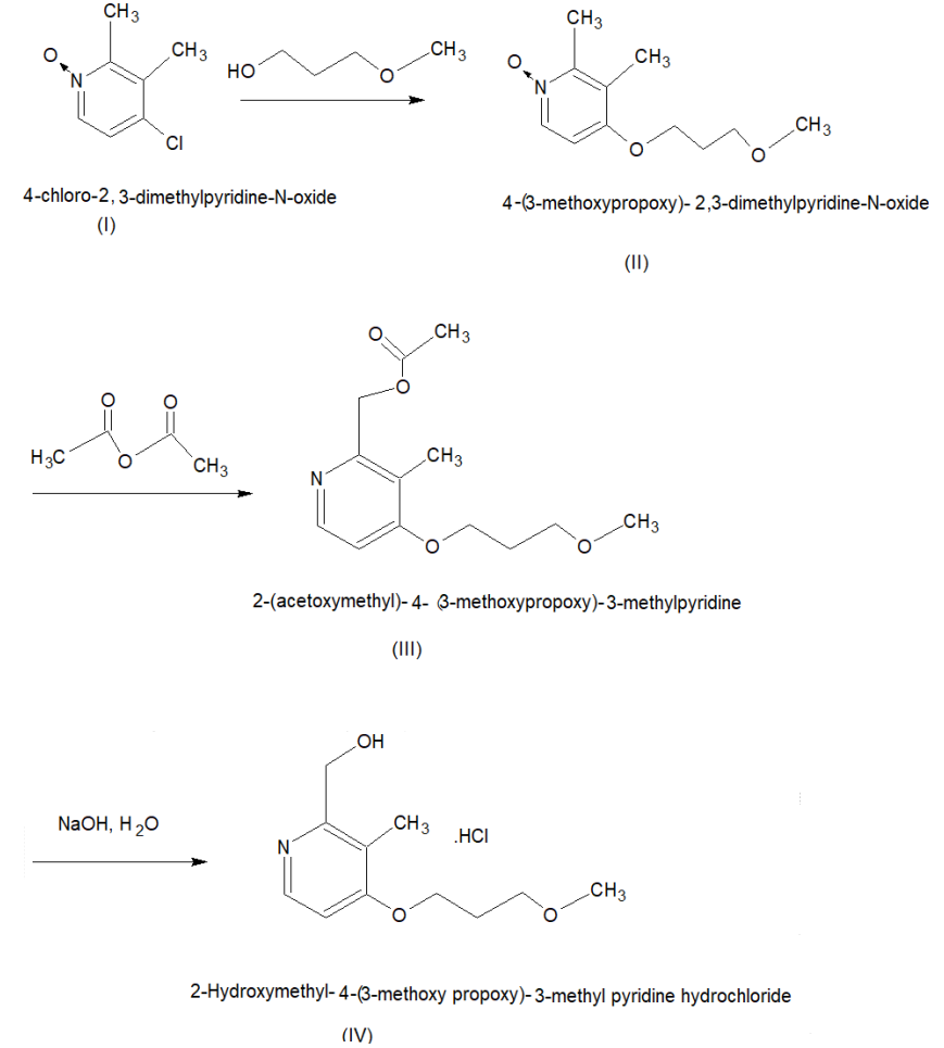
Shanghai Ruifu Chemical ist der führende Hersteller von [4-(3-Methyoxypropoxy)-3-Methyl-2-Pyridinyl]methanolhydrochlorid (Rabeprazol-Hydroxyverbindung) (CAS: 675198-19-3) mit hochwertigem Zwischenprodukt von Rebeprazol-Natrium (CAS: 117976-90-6). Ruifu Chemical bietet fortschrittliche, qualitativ hochwertige pharmazeutische Zwischenprodukte und pharmazeutische Wirkstoffe (APIs).
Ruifu Chemical bietet weltweite Lieferung, wettbewerbsfähige Preise, exzellenten Service sowie die Verfügbarkeit kleiner und großer Mengen. Kaufen Sie Rabeprazol-Natrium-Zwischenprodukte, Bitte kontaktieren Sie: alvin@ruifuchem.com
| Chemischer Name | [4-(3-Methyoxypropoxy)-3-Methyl-2-Pyridinyl]methanolhydrochlorid |
| Synonyme | Rabeprazol-Hydroxyverbindung; (4-(3-Methoxypropoxy)-3-Methylpyridin-2-yl)methanol Hydrochlorid; 4-(3-Methoxypropoxy)-3-Methylpyridin-2-Methanolhydrochlorid |
| CAS-Nummer | 675198-19-3 |
| Lagerstatus | Auf Lager, Produktionsmaßstab bis zu Tonnen |
| Molekulare Formel | C11H18ClNO3 |
| Molekulargewicht | 247,72 |
| Echtheitszertifikat und Sicherheitsdatenblatt | Verfügbar |
| Herkunft des Produkts | Shanghai, China |
| Haltbarkeit | 24 Monate bei sachgemäßer Lagerung |
| Produktkategorien | Pharmazeutische Zwischenprodukte |
| Marke | Ruifu Chemical |
| Artikel | Spezifikationen | Ergebnisse |
| Aussehen | Hellgelbes kristallines Pulver | Hellgelbes kristallines Pulver |
| Test-/Analysemethode | >99,0 % (HPLC) | 99,7 % |
| Verlust beim Trocknen | <0,50 % | 0,23 % |
| Rückstände bei der Zündung | <0,20 % | 0,06 % |
| Jede einzelne Verunreinigung | <0,50 % | <0,50 % |
| Gesamtverunreinigungen | <0,50 % | 0,30 % |
| Schwermetalle (als Pb) | <20 ppm | <20 ppm |
| Fazit | Das Produkt wurde getestet und entspricht den angegebenen Spezifikationen | |
| Nutzung | Zwischenprodukt von Rebeprazol-Natrium (CAS: 117976-90-6) | |
Paket: Flasche, Aluminiumfolienbeutel, 25 kg/Kartontrommel oder nach Kundenwunsch
Lagerbedingungen:In verschlossenen Behältern kühl und trocken lagern; Vor Licht und Feuchtigkeit schützen


[4-(3-Methyoxypropoxy)-3-Methyl-2-Pyridinyl]methanolhydrochlorid, Rabeprazol-Hydroxyverbindung, (CAS: 675198-19-3) ist ein Zwischenprodukt von Rebeprazol-Natrium (CAS: 117976-90-6). Rabeprazol-Natrium-Azol-Krebs ist eine Klasse von Protonenpumpenhemmern, die die Medikamente einnehmen, für Ray Bella Azol-Natriumsalzform, zuerst von der japanischen Firma Eisai zum ersten Mal erfolgreich entwickelt, Name des Rohstoffs für Wellenkraft, die Rolle von Protonenpumpenhemmern besteht darin, die Magensäuresekretion stabiler Krankheitsbereiche zu reduzieren, um Magen- und Zwölffingerdarmgeschwüre sowie die Wirkung von Magen- und Speiseröhreninsuffizienz zu heilen. Es wird hauptsächlich bei der klinischen Behandlung von säurebedingten Erkrankungen wie Magen- und Zwölffingerdarmgeschwüren, Magengeschwüren, gastroösophagealer Refluxkrankheit, Zhuoye-Syndrom usw. eingesetzt. Rebeprazol-Natrium hat im Vergleich zu Omeprazol einen schnelleren Wirkungseintritt, aber eine kürzere Wirkungsdauer. Rabeprazol ist ein Benzimidazol-Ersatzstoff, der die Magensäuresekretion durch Bindung an die Protonenpumpe der Belegzellen des Magens hemmt. Dieses Produkt hemmt die Wirkung von Adenosintriphosphat, einem Schlüsselenzym bei der Produktion von Magensäure. Es kann die durch Stimulation verursachte Sekretion von basischer Magensäure und Magensäure hemmen.





