Fabrikpreis (4S)-3-[(5S)-5-(4-Fluorphenyl)-5-hydroxypentanoyl]-4-phenyl-1 3-oxazolidin-2-on - 4-(4-Aminophenyl)morpholin-3-Ein CAS 438056-69-0 Rivaroxaban Intermediate – Ruifu
Fabrikpreis (4S)-3-[(5S)-5-(4-Fluorphenyl)-5-hydroxypentanoyl]-4-phenyl-1 3-oxazolidin-2-on - 4-(4-Aminophenyl)morpholin-3-Ein CAS 438056-69-0 Rivaroxaban Intermediate – RuifuDetail:
Hersteller mit hoher Reinheit und wettbewerbsfähigem Preis
Kommerzielle Versorgung mit Rivaroxaban (CAS: 366789-02-8) Verwandte Zwischenprodukte:
(S)-(+)-Glycidylphthalimid CAS: 161596-47-0
4-(4-Aminophenyl)morpholin-3-one CAS: 438056-69-0
2-[(2R)-2-Hydroxy-3-[[4-(3-oxo-4-morpholinyl)phenyl]amino]propyl]-1H-isoindol-1,3(2H)-dion 446292-07-5
5-Chlorthiophen-2-Carbonsäure CAS: 24065-33-6
Rivaroxaban CAS: 366789-02-8
| Chemischer Name | 4-(4-Aminophenyl)morpholin-3-ein |
| CAS-Nummer | 438056-69-0 |
| CAT-Nummer | RF-PI129 |
| Lagerstatus | Auf Lager, Produktionsmaßstab bis zu Tonnen |
| Molekulare Formel | C10H12N2O2 |
| Molekulargewicht | 192.21 |
| Marke | Ruifu Chemical |
| Artikel | Spezifikationen |
| Aussehen | Weißes bis hellgelbes oder hellbraunes kristallines Pulver |
| Reinheit / Analysemethode | ≥99,0 % (HPLC) |
| Schmelzpunkt | 165,0–175,0 °C |
| Identifikation | HNMR |
| Feuchtigkeit (K.F) | ≤1,0 % |
| Verlust beim Trocknen | ≤0,50 % |
| Rückstände bei der Zündung | ≤0,10 % |
| Maximale Einzelverunreinigung | ≤0,50 % |
| Gesamtverunreinigungen | ≤1,5 % |
| Teststandard | Unternehmensstandard |
| Nutzung | Rivaroxaban (CAS: 366789-02-8) Zwischenprodukt |
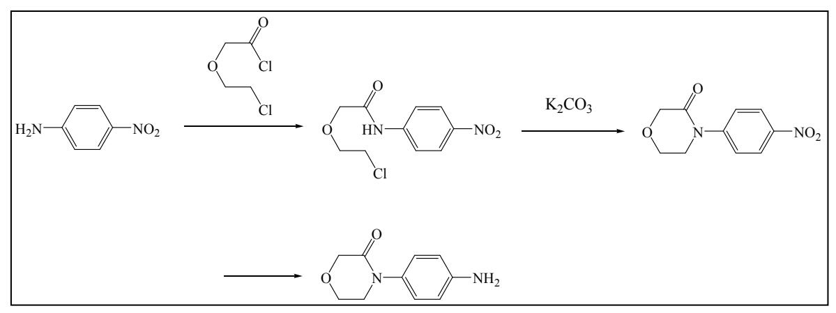
4-(4-Aminophenyl)morpholin-3-one CAS: 438056-69-0 Syntheseweg
Paket: Flasche, Aluminiumfolienbeutel, Papptrommel, 25 kg/Fass oder nach Kundenwunsch.
Lagerbedingungen:In verschlossenen Behältern kühl und trocken lagern; Vor Licht, Feuchtigkeit und Schädlingsbefall schützen.


Shanghai Ruifu Chemical Co., Ltd. ist der führende Hersteller und Lieferant von 4-(4-Aminophenyl)morpholin-3-on (CAS: 438056-69-0) mit hoher Qualität, es ist ein typisches Zwischenprodukt bei der Synthese von Rivaroxaban (CAS: 366789-02-8).
Rivaroxaban (Xarelto; CAS: 366789-02-8) ist ein neuartiger, oraler, direkter Faktor Xa (FXa)-Inhibitor im späten Entwicklungsstadium zur Prävention und Behandlung thromboembolischer Erkrankungen. Rivaroxaban hemmt auch die Prothrombinaseaktivität mit einem IC50-Wert von 2,1 nM. Rivaroxaban zeigt auch eine ähnliche Affinität zu gereinigtem menschlichem und Kaninchen-FXa (IC50 0,7 nM bzw. 0,8 nM), jedoch eine geringere Wirksamkeit gegenüber gereinigtem Ratten-FXa (IC50 3,4 nM). Endogenes menschliches und Kaninchen-FXa im Plasma wird durch Rivaroxaban in ähnlichem Ausmaß gehemmt (IC50 21 nM bzw. 21 nM), während im Rattenplasma 14-fach höhere Konzentrationen erforderlich sind (IC50 290 nM). Rivaroxaban weist als Substrat des P-gp eine hohe Permeabilität und einen polarisierten Transport durch Caco-2-Zellen auf, zeigt jedoch in vitro bis zu Konzentrationen von 100 μM keine hemmende Wirkung auf den P-gp-vermittelten Arzneimitteltransport.
Produktdetailbilder:
![Factory Price (4S)-3-[(5S)-5-(4-Fluorophenyl)-5-hydroxypentanoyl]-4-phenyl-1 3-oxazolidin-2-one - 4-(4-Aminophenyl)morpholin-3-One CAS 438056-69-0 Rivaroxaban Intermediate – Ruifu detail pictures](/upload/image/products/e2fc83561.jpg)
Verwandter Produktführer:
Wir legen Wert darauf, qualitativ hochwertige Kreationen mit erstklassigem Geschäftskonzept, ehrlichem Umsatz und bestem und schnellem Service anzubieten. Es wird Ihnen nicht nur eine qualitativ hochwertige Lösung und einen enormen Gewinn bringen, sondern das Wichtigste ist auch, den endlosen Markt für (4S)-3-[(5S)-5-(4-Fluorphenyl)-5-Hydroxypentanoyl]-4-Phenyl-1 3-Oxazolidin-2-one zu besetzen 4-(4-Aminophenyl)morpholin-3-One CAS 438056-69-0 Rivaroxaban Intermediate – Ruifu, Das Produkt wird in die ganze Welt geliefert, darunter: Singapur, Marseille, Tschechische Republik. Unsere Produkte sind bei den Anwendern weithin anerkannt und vertrauenswürdig und können sich ständig weiterentwickelnden wirtschaftlichen und sozialen Bedürfnissen gerecht werden. Wir begrüßen neue und bestehende Kunden aus allen Gesellschaftsschichten, die uns für zukünftige Geschäftsbeziehungen und den gemeinsamen Erfolg kontaktieren möchten!




