(2-Amino-4-thiazolyl)essigsäure (ATAA) CAS 29676-71-9 Reinheit >99,5 % (HPLC) Cefotiam Intermediate Factory
Herstellerversorgung mit hochwertiger, kommerzieller Produktion
Chemischer Name: (2-Amino-4-thiazolyl)essigsäure CAS: 29676-71-9
| Chemischer Name | (2-Amino-4-thiazolyl)essigsäure |
| Synonyme | ATAA; (2-Aminothiazol-4-yl)essigsäure; 2-Aminothiazol-4-Essigsäure; 2-Amino-4-Thiazolessigsäure |
| CAS-Nummer | 29676-71-9 |
| CAT-Nummer | RF-PI1112 |
| Lagerstatus | Auf Lager, Produktionsmaßstab bis zu Tonnen |
| Molekulare Formel | C5H6N2O2S |
| Molekulargewicht | 158.18 |
| Marke | Ruifu Chemical |
Paket: Flasche, Aluminiumfolienbeutel, 25 kg/Kartontrommel oder nach Kundenwunsch.
Lagerbedingungen:In verschlossenen Behältern kühl und trocken lagern; Vor Licht und Feuchtigkeit schützen.


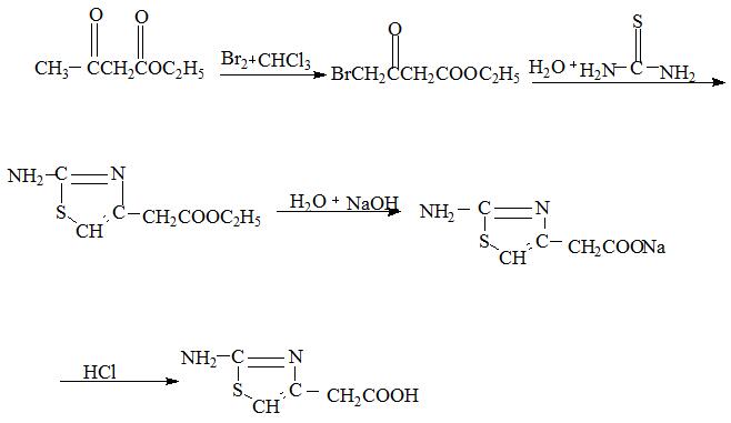
(2-Amino-4-thiazolyl)essigsäure (CAS: 29676-71-9) kann als Zwischenprodukt von Cefotiam verwendet werden. Cefotiam ist ein Beta-Lactam-Cephalospo-Antibiotikum der dritten Generation und wirkt gegen ein breites Spektrum sowohl grampositiver als auch gramnegativer Bakterien. Ein halbsynthetisches Cephalosporin, formuliert als Dihydrochlorid zur Injektion und als Prodrug-Ester, Cefotiam Hexetil, zur oralen Verabreichung. Die Wirkung ähnelt der von Cefuroxim, ist jedoch gegen eine Reihe von Enterobakterien etwas wirksamer.





