DMDO-Cl CAS 80841-78-7 Reinheit >96,0 % (GC) Olmesartan Medoxomil Intermediate Factory
Ruifu Chemical Supply Olmesartan-Medoxomil-Zwischenprodukte mit hoher Qualität:
4,5-Dimethyl-1,3-Dioxol-2-One (DMDO) CAS 37830-90-3
4-Chlormethyl-5-Methyl-1,3-Dioxol-2-One (DMDO-Cl) CAS 80841-78-7
Ethyl 4-(1-Hydroxy-1-Methylethyl)-2-Propyl-Imidazol-5-Carboxylat CAS 144689-93-0
Diethyl 2-Propyl-1H-Imidazol-4,5-Dicarboxylat CAS 144689-94-1
Tritylolmesartanethylester CAS 144690-33-5
Tritylolmesartansäure CAS 761404-85-7
N2-Tritylolmesartansäure CAS 752179-89-8
Trityl Olmesartan Medoxomil CAS 144690-92-6
Olmesartanmedoxomil CAS 144689-63-4
| Chemischer Name | 4-Chlormethyl-5-methyl-1,3-dioxol-2-on |
| Synonyme | DMDO-Cl |
| CAS-Nummer | 80841-78-7 |
| CAT-Nummer | RF-PI1871 |
| Lagerstatus | Auf Lager, Produktionskapazität 300 Tonnen/Jahr |
| Molekulare Formel | C5H5ClO3 |
| Molekulargewicht | 148,54 |
| Siedepunkt | 93℃/2 mmHg |
| Marke | Ruifu Chemical |
| Artikel | Spezifikationen |
| Aussehen | Farblose bis gelbe Flüssigkeit |
| Identifikation (GC) | Die Retentionszeit des Hauptpeaks im Chromatogramm der Probe entspricht der des Standards in Reinheit und verwandter Substanzen |
| Reinheit / Analysemethode | >96,0 % (GC) |
| Wasser (von Karl Fischer) | <0,50 % |
| Verunreinigung A | <1,50 % |
| Verunreinigung B | <0,50 % |
| Verunreinigung C | <3,00 % |
| Verunreinigung D | <4,00 % |
| Verunreinigung E | <0,10 % |
| Brechungsindex N20/D | 1,476~1,482 |
| Spezifisches Gewicht (20/20℃) | 1,357~1,363 |
| Protonen-NMR-Spektrum | Entspricht der Struktur |
| Teststandard | Unternehmensstandard |
| Nutzung | Zwischenprodukt von Olmesartan Medoxomil (CAS: 144689-63-4) |
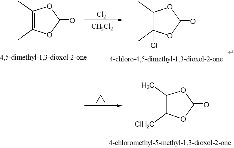
Syntheseweg von 4-Chlormethyl-5-methyl-1,3-dioxol-2-on
Paket: Fluorierte Flasche, 25 kg/Fass, oder nach Kundenwunsch
Lagerbedingungen:In verschlossenen Behältern kühl und trocken lagern; Vor Licht und Feuchtigkeit schützen


4-Chlormethyl-5-methyl-1,3-dioxol-2-on, (DMDO-Cl) (CAS: 80841-78-7) ist ein Zwischenprodukt von Olmesartanmedoxomil (CAS: 144689-63-4). Olmesartan Medoxomil ist ein neuer selektiver und kompetitiver nichtpeptidischer Angiotensin-II-Rezeptor-Antagonist zur Behandlung von Bluthochdruck. Olmesartan wirkt, indem es die Bindung von Angiotensin II an die AT1-Rezeptoren im Gefäßmuskel blockiert. Indem Olmesartan eher die Bindung als die Synthese von Angiotensin II blockiert, hemmt es die negative regulatorische Rückkopplung auf die Reninsekretion. Olmesartan Medoxomil wurde in den USA als Benicar@ eingeführt, ein oral verabreichtes Medikament zur Behandlung von Bluthochdruck.





