5(4)-Amino-4(5)-imidazolecarboxamide Hydrochlorid CAS 72-40-2 Dacarbazin und Temozolomid mittlerer Qualität
Hersteller mit hoher Reinheit und kommerzieller Produktion
Bereitstellung von Temozolomid und verwandten Zwischenprodukten:
Temozolomid CAS: 85622-93-1
4(5)-Amino-5(4)-Imidazolcarboxamid CAS: 360-97-4
5(4)-Amino-4(5)-Imidazolcarboxamidhydrochlorid CAS: 72-40-2
| Chemischer Name | 5(4)-Amino-4(5)-Imidazolcarboxamidhydrochlorid |
| Synonyme | 5(4)-Amino-4(5)-(Aminocarbonyl)imidazolhydrochlorid |
| CAS-Nummer | 72-40-2 |
| CAT-Nummer | RF-PI239 |
| Lagerstatus | Auf Lager, Produktionsmaßstab bis zu Tonnen |
| Molekulare Formel | C4H7ClN4O |
| Molekulargewicht | 162,58 |
| Marke | Ruifu Chemical |
| Artikel | Spezifikationen |
| Aussehen | Weißes bis cremefarbenes kristallines Pulver |
| Verlust beim Trocknen | ≤0,50 % |
| Schmelzpunkt | 249,5~252,5℃ |
| Schwermetalle | ≤20 ppm |
| Löslichkeit (5 % in Wasser) | Klar |
| Test | ≥98,5 % (AgNO3, Titration) |
| Teststandard | Unternehmensstandard |
| Nutzung | Pharmazeutische Zwischenprodukte; Organische Synthese |
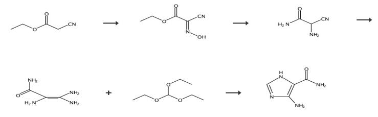
5(4)-Amino-4(5)-imidazolcarboxamidhydrochlorid (CAS: 72-40-2) Syntheseweg
Paket: Flasche, Aluminiumfolienbeutel, Papptrommel, 25 kg/Fass oder nach Kundenwunsch.
Lagerbedingungen:In verschlossenen Behältern kühl und trocken lagern; Vor Licht, Feuchtigkeit und Schädlingsbefall schützen.


Shanghai Ruifu Chemical Co., Ltd. ist der führende Hersteller und Lieferant von 5(4)-Amino-4(5)-imidazolecarboxamide Hydrochlorid (CAS: 72-40-2) mit hoher Qualität. 5(4)-Amino-4(5)-imidazolecarboxamide Hydrochlorid (CAS: 72-40-2) ist ein typisches Zwischenprodukt bei der Synthese von Dacarbazin (CAS: 4342-03-4) und Temozolomid (CAS: 85622-93-1).
5-Amino-4-imidazolecarboxamidhydrochlorid ist auch ein Vorläufer der Nukleinsäuresynthese.
Temozolomid (TMZ) (CAS: 85622-93-1) ist ein orales Alkylierungsmittel zur Behandlung von Glioblastoma multiforme (GBM) und Astrozytomen sowie metastasiertem Melanom.





